Description
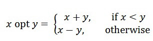
定义二元运算 opt 满足
现在给定一个长为 n 的数列 a 和一个长为 m 的数列 b ,接下来有 q 次询问。每次询问给定一个数字 c
你需要求出有多少对 (i, j) 使得 a_i opt b_j=c 。
Input
第一行是一个整数 T (1≤T≤10) ,表示测试数据的组数。
对于每组测试数据:
第一行是三个整数 n,m,q (1≤n,m,q≤50000) 。
第二行是 n 个整数,表示 a_1,a_2,?,a_n (0≤a_1,a_2,?,a_n≤50000) 。
第三行是 m 个整数,表示 b_1,b_2,?,b_m (0≤b_1,b_2,?,b_m≤50000) 。
第四行是 q 个整数,第 i 个整数 c_i (0≤c_i≤100000) 表示第 i 次查询的数。
Output
对于每次查询,输出一行,包含一个整数,表示满足条件的 (i, j) 对的个数。
Sample Input
22 1 5
1 3
2
1 2 3 4 5
2 2 5
1 3
2 4
1 2 3 4 5
Sample Output
10
1
0
0
1
0
1
0
1


