UOJ Logo 黑暗爆炸OJ

DARKBZOJ

#4734. 如何优雅地求和

统计 下载数据

Description

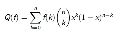
有一个多项式函数 f(x),最高次幂为x^m,定义变换 Q:
现在给定函数 f 和 n, x,求 Q(f) mod 998244353。

Input

Output

Sample Input

4 1 332748118
0 1

Sample Output

332748119

Hint

Source