Description
Alice设计了一个树结构,有 N 个结点(包括根)被依次编号为 1 到 N ,由 N-1 条边连接。后来,Bob在上面增
加了 K 条原来没有的边(也就是说既不是自环,也不会因此产生重边)并称这样得到的图为“K-嫁接树”。现在A
lice希望对嫁接树的每一个结点进行染色,允许使用的颜色恰有 N 种,分别编号为 1 到 N 。Alice要求相邻两个
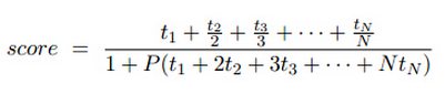
结点要涂上不同的颜色。假设颜色为 i 的结点有 ti 个,则Bob给出了如下的评价分数:
.png)
其中 P 为非负系数。现在,Alice希望可以找到一种染色方案,使得Bob给出来的评分最大。你能帮助他吗?
Input
第一行有 2 个整数,依次为 N 和 K,如题所述。
第二行到第 N+K 行,每行有两个整数 u 和 v ,依次给出了 N+K-1 条边。
保证不存在自环,也不存在重边。
最后一行给定非负浮点数 P 。
K≤2;1≤N≤20000;0≤P<10
Output
输出最大的可能评分,四舍五入保留到小数点后第三位。
Sample Input
9 01 2
1 3
1 4
1 5
2 6
2 7
2 8
2 9
2.5


