Description
你已经被雇佣来 使用现有的旧管道组件以建设一个在旧厂房两点间运水的系统。旧管道系统由管道和管道接口器组成。原有管道在接口器处相交。有的旧管道已经被移除,只在接口器上留下了洞——他们本来是连在洞上的。如果水流入某个接口器,它将流出整个洞并逐渐充满整个大楼——这显然不能让人接受。
你可以通过在一些开孔间加入新管道,或者塞子关闭其他开孔来挽回这种状况。当你用一条新的管道连接两个洞时(必须位于两个不同的节点上),这两个洞不再开放并且水可以流经个新的管道。加入一条新的管道的花费等同于两个节点中心的距离。购买塞子塞住一个洞的花费是0.5。你不需要考虑那些永远不会有水到达的节点上的洞。
有两个结点是特殊的。一个叫做源,是水流入新系统的点。另一个叫做汇,是水需要到达的地方。在所有新的塞子和管道被加入系统后,水将被以一个足够达到指定高度的压力注入源点(当然是在没有渗漏的情况下)。你可以选择任意的压力。而且可以放心,在系统工作时压力不会改变。当然,压力应该足够达到源点和汇点。你的任务是找到让水从源流到汇的最小费用,同时保证水不会渗入大楼。
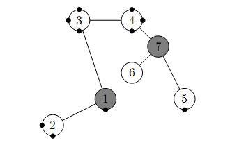
下面的图中。黑点代表开着的洞,节点1是源点,节点7是汇点。黑点在圆上的位置没有意义,仅作说明用途)。

水依照物理原理流过这个系统。如果压力足够让一个节点灌满水,那这些节点将始终充满了水。如果管道横向延伸或者从一个节点向下延伸,那么水也会从那些管道流过。水也会沿着管道向上,直到达到压力高度的限制。
当然,如果水达到了一个接口器上的洞,它将会流出并充满整个大楼。
在第一个样例中,你可以连接接口1和5
当然,如果水流到一个节点中的开孔,那它将会流出洞并且充满整个大楼。
在第一个样例中,你可以花费代价3连接节点1,5,塞上2的开孔。并且让水压恰好到达接口7。水将充满接口器1、2、5、6和7,不会流得更高了。一个不同的方案(花费更多)是塞住所有的开孔(花费5),并且让水流经所有的洞。通过连接1、6并塞住2、5的开孔不能解决问题,因此接口器6不可以连接管道。
注:假设现有的管道和任何新的管道出了那些他们被连接的节点外,彼此不相交也没有其他接口。就是说,即使一条从A到B的直线经过了C,任何A到B的管道也不会碰到C。
Input
每个测试点的第一行包含两个正整数N和M。N (2 ≤ N ≤ 400)表示大楼中接口的数量,M(0 ≤ M ≤ 50 000)表示现有可用管道的数量。接下来的N行每行包含四个正整数xi,yi,zi和ki (−10 000 ≤ xi, yi, zi ≤ 10 000,0 ≤ ki ≤ 400, i = 1, 2, ...,N)。第i行描述了结点i:(xi, yi, zi)是地i个结点在三维坐标系中的位置。Ki表示交界处洞的个数。接下来M行的每一行包含两个整数aj和bj(1 ≤ aj < bj ≤ N)。表示第j条原有管道连接了aj和bj两个节点。每对点之间最多有一条管道。并且没有两个节点位于同一个坐标。源是节点1,汇是节点N。
Output
对于每个测试点,打出测试点编号。之后,若它存在一些新的管道和塞子可以用来建设所需的系统,打印出连接源节点带汇节点的最小代价(精确到小数点后四位)。如果不可能连接源汇,则打印出单词impossible。
Sample Input
7 62 0 1 1
0 0 0 2
1 0 4 3
3 0 4 3
5 0 1 1
3 0 2 0
5 0 3 0
1 2
1 3
3 4
4 7
5 7
6 7
4 1
2 0 0 0
3 0 1 0
4 1 0 1
5 1 1 1
1 2
Sample Output
Case 1: 4.0000Case 2: impossible


