Description
我们的小朋友很喜欢计算机科学,而且尤其喜欢二叉树。
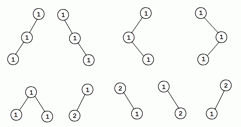
考虑一个含有n个互异正整数的序列c[1],c[2],...,c[n]。如果一棵带点权的有根二叉树满足其所有顶点的权值都在集合{c[1],c[2],...,c[n]}中,我们的小朋友就会将其称作神犇的。并且他认为,一棵带点权的树的权值,是其所有顶点权值的总和。
给出一个整数m,你能对于任意的s(1<=s<=m)计算出权值为s的神犇二叉树的个数吗?请参照样例以更好的理解什么样的两棵二叉树会被视为不同的。
我们只需要知道答案关于998244353(7*17*2^23+1,一个质数)取模后的值。
Input
第一行有2个整数 n,m(1<=n<=10^5; 1<=m<=10^5)。
第二行有n个用空格隔开的互异的整数 c[1],c[2],...,c[n](1<=c[i]<=10^5)。
Output
输出m行,每行有一个整数。第i行应当含有权值恰为i的神犇二叉树的总数。请输出答案关于998244353(=7*17*2^23+1,一个质数)取模后的结果。
Sample Input
样例一:2 3
1 2
样例二:
3 10
9 4 3
样例三:
5 10
13 10 6 4 15
Sample Output
样例一:1
3
9
样例二:
0
0
1
1
0
2
4
2
6
15
样例三:
0
0
0
1
0
1
0
2
0
5
Hint
对于第一个样例,有9个权值恰好为3的神犇二叉树:



