Description
一棵二叉树要么为空,要么由一个结点和两棵与其相连的树组成。这两棵树分别称为左子树和右子树。每个结点处有一个英文字母。不包括在任何子树内的结点称为根结点。我们定义二叉搜索树(BST)为:若按字母表中的先后顺序排列,则二叉树的任一个结点均满足,其左子树上的所有字母均在该结点字母之前,而其右子树上所有字母均在该结点字母之后。
于是,一棵BST的代码为:
●如果是一棵空树,则代码中不包括任何字母,即为空串;
●如果不是空树,则代码为:根结点上的字母,紧跟着左子树的代码和右子树的代码。
一棵含k个结点的BST,其代码会有k个小写英文字母,按照字母顺序排列它所有可能的代码,并用(n,k)表示其中的第n条代码。
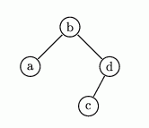
例如,一棵有4个结点的BST共有14个不同的代码,按字母顺序列出:abcd 、abdc、 acbd、 adbc、 adcb、 bacd、 badc、 cabd、 cbad、 dabc、 dacb、 dbac、 dcab、 dcba。
代码(7,4):badc,对应的BST如下图所示。
.jpg)
任务:
编写一个程序,完成下列工作:
●读入n,k;
●找出代码(n,k);
●把它写入
Input
仅一行,包括以空格分开的两个整数n和k(1≤K≤19)。n不超过BST代码的总数。
Output
仅一行,是以小写字母给出的代码(n,k)。


