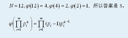
DescriptionInputOutput输出test行,每行一个整数,表示答案。 Sample Input1 2 2 2 3 1 Sample Output 3 Hint Test<=50 Pi<=10^5,1<=Q1<=10^9Source