Description
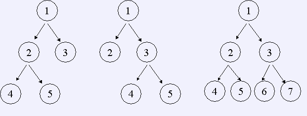
如果一棵树的所有非叶节点都恰好有n个儿子,那么我们称它为严格n元树。如果该树中最底层的节点深度为d
(根的深度为0),那么我们称它为一棵深度为d的严格n元树。例如,深度为2的严格2元树有三个,如下图:
给出n, d,编程数出深度为d的n元树数目。
Input
仅包含两个整数n, d( 0 < n < = 32, 0 < = d < = 16)
Output
仅包含一个数,即深度为d的n元树的数目。
Sample Input
【样例输入1】2 2
【样例输入2】
2 3
【样例输入3】
3 5
Sample Output
【样例输出1】3
【样例输出2】
21
【样例输出2】
58871587162270592645034001


